"СПКБ Техно" продолжает повышать квалификацию своих специалистов
"СПКБ Техно" продолжает повышать квалификацию своих специалистов

В июне 2023 года наши специалисты приняли участие в семинаре по целям и задачам выполнения, методам и средствам обеспечения приемно-сдаточных испытаний (ПСИ) СКС-кабельной продукции. Для проведения семинара был приглашен кандидат технических наук Кочеров Андрей Владимирович - разработчик и производитель соответствующих анализаторов кабельной продукции. В ходе семинара были обсуждены вопросы об электрических характеристик Lan кабеля по ГОСТ Р 54429 и различного оборудования входящих в структурированные кабельные сети по ГОСТ Р 53245. На практических занятиях были исследованы электрические характеристики кабеля Technolan Cat 5e на анализаторе АК102. Данное исследование подтвердило соответствие образца марки кабеля Technolan Cat 5e требованиям ГОСТ Р54429. Семинар сопровождался конструктивным диалогом, что в последствии привило к общему мнению о методе контроля качества кабеля между специалистами АО "СПКБ Техно" и разработчиками испытательного оборудования для кабеля.
Семинар показал соответствие наших систем производства и контроля кабелей современным стандартам качества. В то же время, представленный коллегой Кочеровым А.В. системный анализ стандартов и результатов измерений продемонстрировал пути дальнейшего развития нашего предприятия в направлении освоения СКС-кабелей высоких категорий и инструментального контроля СКС-кабельной продукции, обеспечивающей при безусловном соответствии требованиям и экономию сырья, и совершенствование технологий.
Мы уверены, что новые навыки, знания и средства контроля позволят нам предоставлять клиентам только самое лучшее в области кабельной промышленности. "СПКБ Техно" остается прочным партнером в сфере инженерных решений, и наше постоянное развитие и обучение являются гарантией успешной реализации проектов наших клиентов. Мы ценим доверие, которым вы наделяете нас и обещаем продолжать предоставлять высококачественные услуги с применением самых передовых технологий и методов. Важность постоянного обучения отражает нашу постоянную заботу о качестве наших услуг и удовлетворении потребностей наших клиентов

Малая омическая асимметрия кабеля TechnoLAN Cat 5e свидетельствует о высоких стандартах при заготовке медных жил и высоких кондициях скручивания жил в пару, что создает предпосылки для обеспечения должного качества СКС-кабельной продукции более высоких категорий

Сопротивление жил кабеля TechnoLAN Cat 5e: соответствует норме по ГОСТ Р 54429 – не более 95 Ом/км, запас соответствия составляет 12%.

Важнейший параметр СКС-кабеля – погонное затухание выдержан с запасом, потенциально позволяющим применить жилу с сопротивлением на 3…6% большим, чем использована в проверенном образце. То есть прецизионный контроль СКС-кабельной продукции позволит обеспечить экономию меди на 3…6% в кабельной продукции TechnoLAN

Кабель TechnoLAN Cat 5e превосходит 7A-кабель по однородности импеданса. К сожалению, однородность импеданса, нормируемая по ГОСТ’ам для коаксиальных кабелей, не нормируется стандартами на кабели симметричные. Однако СКС-анализаторы такие испытания в ходе Fluke-паспортизации выполняют и соответствующие нарекания в отношении неоднородности СКС-кабелей могут возникнуть

Совокупность конструктивных параметров, определяющих импеданс пар 5e-кабелей подобрана и технологически обеспечена. Это свойство позволит Заказчику TechnoLAN (Потребителю СКС-кабельной продукции) располагать максимально возможным запасом при Fluke-паспортизации по ГОСТ Р 53245 линков, каналов и патч-кордов в монтируемой Заказчиком СКС

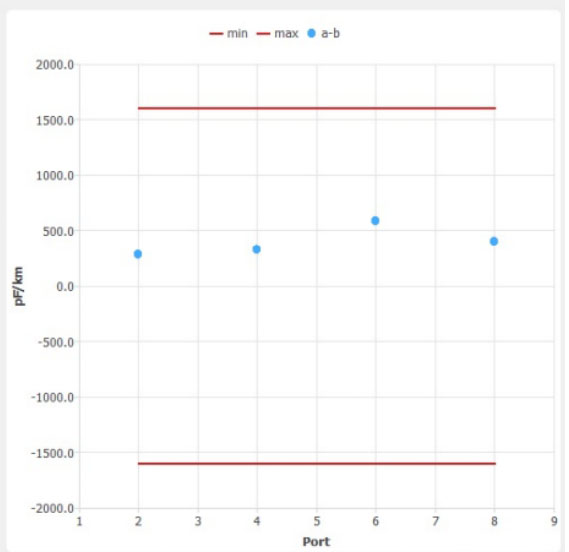
Емкостная асимметрия жил в парах U/UTP-5e-кабеля TechnoLAN практически соответствует емкостной асимметрии экранированных пар в S/FTP-кабеле кат.7A. Это второй раз подтверждает готовность производства к выпуску СКС-продукции следующих категорий

Переходное затухание на ближнем конце образца СКС-кабеля TechnoLAN соответствует 5e-требованиям

Защищенность на дальнем конце образца СКС-кабеля TechnoLAN соответствует 5e-требованиям
Ознакомиться с подробными результатами испытаний можно здесь
Более подробную информацию вы сможете получить у наших менеджеров по телефонам
+7 (499) 929-86-75 и +7 495 505-68-50 и на сайте www.spkb.ru